Produce Safety Rule Harvest Intervals: Validated Escherichia coli Die-Off Data for Washington Apples

In Washington, overhead evaporative cooling with untreated surface water is commonly used to mitigate sunburn in apples. While this method helps prevent economic losses for farmers, it often involves applying water to the apples close to harvest. More information is needed on the die-off of generic Escherichia coli on apple surfaces to understand the appropriate time-to-harvest interval after overhead evaporative cooling.
Research studies conducted by Washington State University and the Washington Tree Fruit Research Commission (Murphy et al. 2024, 2025) have provided scientifically valid data on the die-off rate of generic E. coli on in-field apples. These data offer Washington apple growers valuable information for making informed decisions regarding safe time-to-harvest intervals (Figure 1).
Scientific Data on Time-to-Harvest Intervals for Washington Apples
In-field apples were inoculated with generic E. coli after sundown to reflect the last application of potentially contaminated water prior to harvest (Figure 2). Generic E. coli was used as a surrogate since pathogenic strains cannot be applied in field trials due to food safety and regulatory concerns and generic E. coli is used by regulatory agencies as the indicator organism to assess agricultural water quality. The survival of generic E. coli was monitored over time through regular sampling, up to 156 hours postinoculation. Over three years of field trials, a total of 9,137 apples were evaluated across various treatment combinations. While not all possible combinations were tested, the following factors were examined for apple varieties Gala, Golden Delicious, and Fuji:
Key Findings (Murphy et al. 2024; 2025)
E. coli Survival on Apples
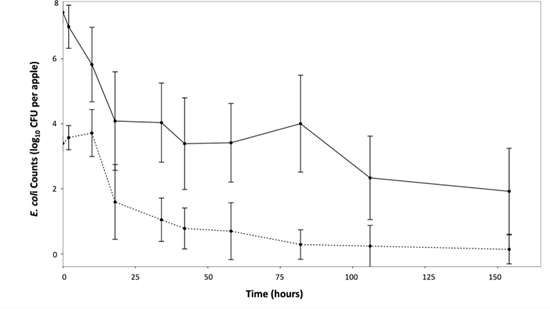
Immediately following inoculation, E. coli levels on high- inoculated mature and immature apples from all three varieties (Gala, Golden Delicious, and Fuji) were between 7.2–7.4 log CFU/apple. For mature high-inoculated apples, Gala apples showed a significant reduction of approximately 2 log CFU/apple in E. coli within two hours postinoculation, while Golden Delicious and Fuji apples reached a similar significant reduction after 10 hours (i.e., overnight) (Figure 3). For immature apples, significant reductions in E. coli were observed by 10 hours for both Gala and Golden Delicious—no data were collected for immature Fuji apples (Figure 3). By 154 hours, regardless of the variety or other factors, E. coli levels on all high- inoculated apples decreased by over 5.5 log CFU/apple, although E. coli remained detectable (Figure 3).
A subset of Fuji apples initially inoculated with 3.4 log CFU/apple showed a significant reduction in E. coli by 18 hours postinoculation, regardless of all other factors (Figure 4). By 154 hours, E. coli levels on these Fuji apples decreased by 3.3 log CFU/apple but remained detectable at low levels (Figure 4).


E. coli Die-Off Patterns and Rates:
Statistical models showed that for high-inoculated Fuji apples, 40% of the E. coli population quickly declined at a rate of 4.53 log CFU/apple/day, followed by a slower decline of the remaining bacteria at 0.38 log CFU/apple/day. For low-inoculation apples, 76% of the E. coli population quickly declined at a rate of 2.12 log CFU/apple/day, with the remaining bacteria dying off more slowly at 0.13 log CFU/apple/day.
For mature Gala and Golden Delicious apples, models showed that 56% of the E. coli population quickly declined at a rate of 6.39 log CFU/apple/day, followed by a slower decline of the remaining bacteria at 0.31 log CFU/apple/day. For immature Gala and Golden Delicious apples, models estimated the time for the first log reduction to be 0.007 days (0.17 hours), with the die-off rate starting quickly and slowing down over time.
There were many factors that affected E. coli survival:
- Apple varieties: Apple variety affected E. coli die-off rates, but the difference (0.10 log CFU/apple/day) was not biologically significant.
- Evaporative cooling treatments: Employing either conventional or misting evaporative cooling after the initial inoculation did not significantly impact the die-off rate of E. coli on apple surfaces compared to apples not treated with evaporative cooling.
- Canopy locations: Die-off rates did not differ by canopy location.
- Growing region: Die-off rates did not differ by orchard location.
- Year: Die-off rates did not differ by year.
- Sunlight exposure: E. coli populations on fruit located in full sun decreased at a faster rate than those in full shade.
- Inoculation level: The rate of E. coli die-off was quicker for the high-inoculated apples compared to the low-inoculated apples.
Practical Implications for the Washington Apple Industry
- Time-to-harvest intervals: To account for the slower die-off of lower levels of generic E. coli, waiting to harvest apples 10–18 hours after contact with potentially contaminated water would result in significant microbial reduction. In most cases, this is achieved overnight, and it will make it possible to continue water use until the day before harvest.
- Overhead evaporative cooling usage: Using overhead evaporative cooling systems, either conventional or misting, did not significantly affect the survival of E. coli compared to apples without overhead evaporative cooling. This supports the use of overhead evaporative cooling practices from safe water sources and continued practice by Washington’s apple industry.
- Apple variety: The results support using similar harvest timing for apple varieties.
- Sunlight: Apples were inoculated at sundown to simulate a worst-case scenario with minimal solar UV radiation before harvest. Most overhead cooling would be conducted in the heat of the day, not close to dusk. Even in worst-case scenarios, significant reductions in E. coli were observed, and apples exposed to sunlight the next day showed further reduction.
- Orchard location: Since factors like year, orchard location, canopy position, and canopy structure did not affect the die-off rate, the results are relevant to apple production across the state.
Acknowledgments
Field studies were conducted in partnership with the WSU Wenatchee Tree Fruit Research and Extension Center and the WSU Prosser Irrigated Agriculture Research and Extension Center, alongside collaboration with industry partners and guidance from regulatory personnel. We acknowledge the generous donation from Wilson Irrigation.
Manoella Mendoza utilized data from year 1 of the study in her master’s thesis, and her contribution to the success of the project is acknowledged. WSU staff with major project contributions include Tonia Green, Lauren Walter, Kyu Ho Jeong, and Andy Liao. Washington Tree Fruit Research Commission seasonal staff also contributed greatly to the success of this project, and their efforts are sincerely appreciated.
Glossary
agricultural water: Water used in covered activities on covered produce where water is intended to, or is likely to, contact covered produce or food contact surfaces.
mitigation measure: An action taken to reduce the risk of contamination from known or foreseeable hazards identified during a mandatory agricultural water assessment.
preharvest agricultural water assessment: An evaluation of an agricultural water system, agricultural water practices, crop characteristics, environmental conditions, and other relevant factors (including test results, where appropriate) related to growing activities for covered produce (other than sprouts) to (1) identify any condition(s) that are reasonably likely to introduce known or reasonably foreseeable hazards into or onto covered produce or food contact surfaces; and (2) determine whether measures are reasonably necessary to reduce the potential for contamination of covered produce or food contact surfaces with such known or reasonably foreseeable hazards.
time-to-harvest interval: The minimum waiting period required between the final application of preharvest agricultural water and the harvesting of crops to allow for microbial die-off, provided you have that scientifically valid supporting data and information are available.
References
Food and Drug Administration (FDA). 2015. Standards for the Growing, Harvesting, Packing, and Holding of Produce for Human Consumption (pdf).
Food and Drug Administration (FDA). 2024. Standards for the Growing, Harvesting, Packing, and Holding of Produce for Human Consumption Relating to Agricultural Water (pdf).
Murphy, C.M., K.H. Jeong, L. Walter, et al. 2025. Survival of Generic Escherichia coli on In-Field Mature and Immature Gala and Golden Delicious Apples With or Without Overhead Evaporative Cooling Treatment. Journal of Food Protection 88(1).
Murphy, C.M., M. Mendoza, L. Walter, et al. 2024. Impact of Overhead Evaporative Cooling, Canopy Location, Sunlight Exposure, Inoculation Level, Region, and Growing Season on the Survival of Generic Escherichia coli on In-Field Fuji Apples. Journal of Applied Microbiology 135(10).


